The Ridiculous Tariff Equation
Economics and math can be quite scary! I have a science and engineering background and even I can look at an equation and get overwhelmed.
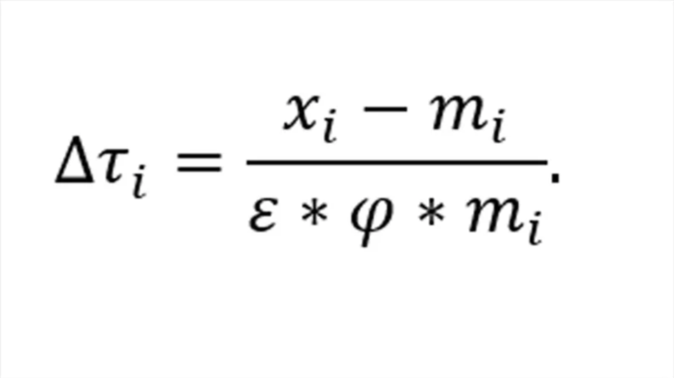
Here is the formula the Trump administration used to calculate our “reciprocal” tariffs. They are not reciprocal in ANY way as foreign tariffs are not part of this equation whatsoever.

I came across this great video explaining what this equation says and why it’s absolutely ridiculous, like Trump’s entire view of trade.
On the top of the right side, xi - mi just means the trade deficit between the US and the target company. Trade deficits are simply the difference between the amount of goods people in a country buy from each other. Of note here is that trade deficits really do NOT matter for very much. Trump is convinced trade deficits mean the US is losing money but that isn’t what they are. At all.
Let’s look at a small country that’s not very industrialized. They’re quite good at manufacturing widgets and not much else. People in the United States buy $500 million worth of widgets from that country every year. That country is relatively poor but they love gizmos from the United States and buy $10 million worth of gizmos every year.
The United States has a trade deficit of $490 million with this country. To Trump and his followers, this means the United States is losing $490 million and being treated very unfairly! That trade deficit must be reduced!
Except no one has lost anything at all. What they don’t understand is that when US consumers buy $500 million in widgets, we are sending $500 million in cash but we are GETTING $500 million worth of widgets.
The net asset change here is ZERO.
Just as the net change for the purchased gizmos is ZERO.
Trade deficits are not debts. They are not losses. While they have some uses in economics, they are not inherently bad in any way.
So the trade deficit, not something anyone needs to be concerned about, is the top term.
The bottom term there, sigma times phi times mi, is a bit more complicated.
mi is easy. It’s just the amount of imports from that country.
Epsilon, the first term on the bottom, is an elasticity measurement. Elasticity is just a measure of how MUCH a number will change when another number changes. In this case, it’s measuring how fewer goods will be sold when tariffs are increased.
Phi, the middle term, is how much of a tariff the companies being charged for them will pass on to the consumer.
Calculating the trade deficit and total imports is straightforward and just a matter of collecting the data.
Calculating Epsilon and phi are very tricky and they’re both going to vary wildly depending on what the product is.
Doing that would be hard so Trump’s economics team simply assigned them values of 4 for epsilon and 0.25 for phi for every single country on the planet, without taking into account WHAT that country sells the United States in any way at all.
Why values of 4 and 0.25?
Not based on any data, but rather because it makes the math easier.
Multiply 4 and 0.25 together and you get 1.
Since 1 times anything is itself, epsilon (4) times phi (0.25) times the amount of imports is just going to give you the amount of imports.
That means you can just remove phi and epsilon entirely and the equation becomes the trade deficit divided by the amount of imports.
According to this equation, that result is the level of tariff you should charge to eliminate a trade deficit.
So what’s the problem?
There isn’t any REASON to eliminate a trade deficit.
In the above example, there are two options to zero out the trade deficit between the US and our loveable widget supplying country.
The first is that the other country could increase the amount of gizmos they buy from the United States by $490 million a year.
Big problem here - the people of this country cannot afford to buy that many gizmos and also have no NEED to buy that many gizmos. This method of zeroing the trade deficit won’t work.
There’s another way and it’s the one this equation is supposed to bring about.
The United States could decrease the amount of widgets consumers buy from that country by $490 million. Now US consumers buy $10 million of widgets from that country and that country buys $10 million of gizmos from the United States.
We’ve done it! The trade deficit is now zero and everyone wins.
That is, unless you’re an American who needs a widget.
Now that we aren’t buying widgets from that country, we will not have enough widgets to go around. We still want our widgets!
You can start setting up widget factories in the United States, but that’s going to take YEARS, not weeks. And even if you can set up enough widget production, prices are still going to rise on widgets, both because they’re more expensive to make here and because the tax has raised the price point.
So we end up with fewer widgets that we spend more money on. But the trade deficit is zero!
What does the trade deficit hitting zero accomplish?
Absolutely nothing. Nothing at all. Again, regardless of how high a trade deficit is, the change in assets through this entire process is NOTHING!
XKCD ran a great comic on this.
A high tech lab orders pizza from the place down the street. That lab is giving them $X and receiving $X worth of pizza. There’s now a trade deficit of X.
Except the trade deficit of X isn’t a problem that needs to be solved! The pizza place isn’t buying anything from the company getting the pizzas because they don’t NEED to buy anything from that company.
The pizza place is not taking advantage of the company in any way by not buying things from them. Nor is the company taking advantage of the pizza place by buying their pizzas.

Everything happening to the world economy right now was unnecessary, self-inflicted, and completely for the sole reason that Donald Trump and Peter Navarro (supposedly the one behind all of this) do not understand even the most basic concepts of trade.
Thank you for supporting my work. Please consider sharing these updates or giving a donation.